在低碳能源体系转型加速推进与冷链物流产业快速发展的背景下,开发高效、稳定、可持续的冷能存储材料已成为重要研究方向。水基相变材料因潜热密度高、成本低廉、环境友好等优势,被视为冷能存储领域的理想候选体系。但其固有热导率低、过冷度大、循环稳定性差等关键问题,严重制约了其实际应用。为解决上述瓶颈,现有研究多通过引入功能添加剂进行改性,然而添加剂引入会破坏水分子氢键网络,导致材料潜热损失。为实现兼具高潜热密度、热导率和低过冷度材料的研发,高原特色农业太阳能多元化利用创新团队负责人李明教授指导团队成员张莹博士和研究生们共同开展了气凝胶基、碳基复合水基相变材料以及相变微胶囊技术的系列深入研究,近期在该领域连续发表三篇高水平学术论文。

在气凝胶复合水基相变材料制备方面,本课题组提出了界面电子结构工程策略,成功制备了TiN/C气凝胶复合水基相变材料。文章以Ti3C2Tx MXene/纤维素气凝胶为前驱体,经高温热解实现TiN纳米晶在多孔碳骨架中的原位锚定,构建具有强相互作用的TiN/C共价异质界面。该界面形成的TiN—C共价键具有化学稳定性与界面电子活性,通过诱导电荷重新分布,显著增强水分子极化与界面化学吸附作用,有效稳定相变过程中的水分子氢键网络,从而降低水基相变材料的潜热损失。实验结果表明,复合相变材料在添加剂(TiN/C-3)添加量为7.1 wt%时相变潜热为268.83 J g-1,潜热保留率达97.92%,过冷度仅为0.09℃。冷链模拟应用测试表明,该材料可将保温箱内温度稳定控制在冷链物流0−4℃区间超7小时,能够满足食品保鲜、医药冷链运输等场景的温控要求。该研究成果于2026年3月18日以《Interface electronic-structure engineered TiN/C aerogel composites for latent heat enhancement in water-based phase change materials toward efficient cold energy storage》为题发表在《Composites Part B: Engineering》(一区TOP期刊,IF=14.2)上,全文链接:https://www. sciencedirect.com/science/article/pii/S1359836826002428,学院博士研究生孙爱月为第一作者,张莹博士、李明教授为共同通讯作者。研究工作得到云南省西南联合研究生院科技专项重大项目课题(202502AO070004)资助、云南省兴滇人才-青年人才项目资助。

在相变微胶囊制备技术方面,相变微胶囊悬浮液因兼具高潜热与微对流效应,在冷能存储领域展现出显著的应用潜力。然而,其分散稳定性差与热导率低等问题严重制约了实际应用。为解决上述瓶颈,现有研究多通过引入功能添加剂进行改性,但添加剂的引入可能破坏体系稳定性或稀释潜热,亟须在稳定性与热性能之间实现协同优化。针对上述问题,本课题组系统地探究了基液类型、密度、表面活性剂种类及石墨烯浓度对相变微胶囊悬浮液性能的影响。研究表明,以去离子水与异丙醇按3.58:4.24质量比配制密度为0.87 g/cm³的基液,并采用亲水亲油平衡值为27.9、质量比为1:1的十二烷基硫酸钠与十六烷基三甲基氯化铵复合表面活性剂,可使悬浮液保持30天分散稳定性。在此基础上引入高导热二维石墨烯材料,当石墨烯浓度为1 wt%时,热导率达0.3092 W/(m·K),较未添加时提高7.26%。经100次冷热循环后,复合悬浮液潜热损失保持在14.5%以内,表明石墨烯有效增强了循环稳定性。本研究所制备的悬浮液相变温度适配3−8℃果蔬保鲜温区,兼具优异的冷量储存与传递性能,能够满足果蔬冷链物流、光伏驱动冷藏库等场景的冷能存储与温控要求。该研究成果于近日以《Preparation of cold-storage microencapsulated phase change suspension: dispersion stability and thermal conductivity performance improvement》为题发表在《Energy》(一区TOP期刊,IF=9.4)上,DOI:10.1016/j.energy.2025.139777,硕士研究生杨依婷为第一作者,张莹博士为通讯作者。研究工作得到云南省基础研究专项课题(202301AT070082)、云南省兴滇人才-青年人才项目资助。
(a) |
(b) |

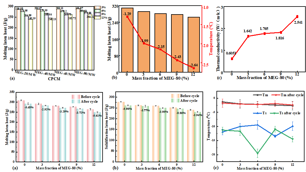
另外,在碳基水基复合相变材料制备方面,膨胀石墨(EG)做填料的复合相变材料表现出高导热系数、制备简单、低成本,以及复合材料的低相变泄漏等优点。但EG晶格结构稳定不会发生相变。因此,引入EG会导致复合材料热导率提升而潜热下降的拮抗效应。针对上述问题,课题组提出了EG亲水改性与尺寸协同优化的调控策略,通过十六烷基三甲基氯化铵改性EG制备复合甘露醇水性相变材料,并验证了EG非极性和粒径对拮抗作用的影响。通过差示扫描量热法分别在不同粒径的改性膨胀石墨和不同改性剂比例下评估了复合材料的热性能。通过0.09 g CATC改性的80目膨胀石墨达到了最佳吸附容量,与未改性的EG相比提高了74.13%,接触角减小到9.36°,熔化温度−2.43°C,熔化潜热272.85 J/g。与甘露醇水基相变材料相比,熔化潜热的最大降幅小于11.71%。经100次冻融循环后,其熔化温度出现了较小的波动,熔化潜热仅下降了3.06%。该研究为改性膨胀石墨水基复合相变材料应用于食品制冷保鲜的可行性提供了实验数据支撑。研究成果于2026年3月1日以《Fabrication of water-based composite phase change materials for cold energy storage with expanded graphite: Hydrophilic modification, particle size and mass fraction optimization》为题发表在《Journal of Energy Storage》(二区期刊,IF=9.8)上,DOI:10.1016/j.est.2025.120002,学院硕士研究生杨新甜为第一作者,张莹博士为通讯作者。研究工作得到云南省基础研究专项课题(202301AT070082)、云南省兴滇人才-青年人才项目资助。


(太阳能供热与制冷技术重点实验室 供稿)